
Negli ultimi dieci anni l’industria avicola negli Stati Uniti è stata colpita da quattro devastanti focolai di influenza aviaria. Questo articolo si concentra sull’epidemia di questo inverno (2024/2025), evidenziando l’alta concentrazione regionale dei focolai e le conseguenti perdite economiche e produttive.
Tra aprile 2015 e aprile 2025 il virus dell’influenza aviaria (HPAI) è stato diagnosticato in 933 allevamenti. Un totale di 190,5 milioni di avicoli è morto a causa delle infezioni virali o a causa dell’abbattimento preventivo; di questi, 150,6 milioni erano galline ovaiole e 24,6 milioni tacchini (Tabella 1).

Mentre tra i primi due focolai sono trascorsi circa sette anni, il terzo e il quarto si sono susseguiti a meno di un anno di distanza. Dopo le devastanti conseguenze economiche del 2022 si sperava che un’epidemia del genere non si ripetesse così presto, ma la nuova ondata di focolai ha colpito ancora l’industria avicola nei mesi invernali del 2023/24, subito dopo il recupero dall’epidemia di Covid-19. Dopo alcuni mesi estivi senza casi di influenza aviaria, si sono verificati nuovi focolai negli Stati del Pacifico nell’ottobre 2024 e alla fine di novembre altri nelle Great Plains occidentali e nel Midwest settentrionale. Poco dopo il capodanno 2025 si è formata una nuova concentrazione con focolai molto numerosi che hanno interessato gli USA dal Midwest centrale agli Stati centro-meridionali e nella parte orientale dal New England fino al Sud-Est. Il numero delle infezioni non è diminuito in modo significativo fino a metà marzo del 2025.
Le gravi perdite animali tra le galline ovaiole, che hanno avuto un impatto significativo sull’approvvigionamento di uova da parte della popolazione e sui loro prezzi, hanno riacceso alcune questioni che erano già state oggetto di discussioni molto controverse nel 2022. Una di queste riguarda la possibilità della vaccinazione preventiva, l’altra riguarda le modalità con cui gli allevamenti debbano essere risarciti attraverso i fondi del Dipartimento dell’Agricoltura degli Stati Uniti (USDA) per le perdite animali causate da infezioni o abbattimenti preventivi. La pressione sul governo federale per intervenire in queste aree è cresciuta e ha portato a delle reazioni, che verranno dettagliatamente discusse più avanti, dopo la panoramica sull’andamento dell’epidemia nel 2024/25.
Una cronologia notevole
Tra il 15 ottobre 2024 e il 14 aprile 2025 ben 250 focolai del virus HPAI hanno colpito allevamenti commerciali in 29 Stati, con una distribuzione geografica degna di nota. Come mostra la Figura 1, l’epidemia è iniziata nei tre stati del Pacifico e nello Utah, coinvolgendo grandi allevamenti di galline ovaiole. Sono seguiti 4 focolai in allevamenti di polli da carne in California e nelle settimane successive sono stati colpiti numerosi allevamenti, in particolare di tacchini e broiler. All’inizio di febbraio 2025 in California si registrava un totale di 62 focolai (cluster I).

Dalla fine di novembre 2024 si è formato un nuovo cluster (II) nel Midwest settentrionale, che si è esteso fino in Oklahoma: la maggior parte dei casi è stata registrata nel South Dakota (sia il North Dakota che il South Dakota, insieme al Minnesota avevano già subito alte perdite durante focolai precedenti), in particolare negli allevamenti di tacchini. Il numero totale di focolai in questo cluster, però, è stato inferiore rispetto all’epidemia del 2022 e anche a quella del 2023/24.
Sebbene alcuni allevamenti nelle Grandi Pianure orientali e nel Midwest (specialmente allevamenti di tacchini e alcuni di galline ovaiole e polli da carne) siano state colpite dall’infezione negli ultimi due mesi del 2024, il numero maggiore di focolai si è verificato non prima della metà di gennaio 2025. Da quel momento si è formato un nuovo cluster (il III) intorno agli stati dell’Ohio, del Missouri e dell’Indiana. Da metà marzo il numero di infezioni è diminuito significativamente, ma il 14 aprile 2025 è stato colpito un grande allevamento di galline ovaiole in Ohio. È interessante notare che la California (62 focolai) e l’Ohio (61 focolai) non solo hanno registrato un numero di casi quasi identico, ma anche un numero molto simile di perdite animali (Tabella 2). Quasi parallelamente a quello del Midwest, si è sviluppato un altro cluster (il IV), sebbene meno grave, nella parte orientale degli Stati Uniti tra New York e la Georgia, dove sono stati colpiti principalmente allevamenti di broiler e di anatre, oltre ad alcuni di tacchini e galline ovaiole.

Osservando la distribuzione geografica dei focolai, appare evidente come essa rifletta le tre principali rotte migratorie degli uccelli selvatici. Le infezioni sono iniziate a ovest (Pacific Flyway), seguite dagli Stati delle Grandi Pianure occidentali e dal Midwest settentrionale, quindi dal Midwest centrale fino al centro-sud (Mississippi Flyway). Gli Stati costieri atlantici sono stati meno colpiti in generale (Atlantic Flyway): qui sono stati infettati principalmente gli allevamenti di polli da carne, il che non sorprende data la distribuzione geografica della produzione di broiler negli Stati Uniti.
Alta concentrazione regionale di focolai e perdite
Le Figure 2 e 3 mostrano i dieci Stati americani con il numero più alto di allevamenti infettati e perdite animali. La Figura 2 rivela che, su un totale di 250 infezioni da virus HPAI registrate in allevamenti avicoli commerciali (escludendo i piccoli allevamenti), la California e l’Ohio da soli, con 123 casi, hanno rappresentato il 49,2%. Anche la concentrazione regionale delle perdite è stata simile: i due Stati hanno rappresentato il 49,2% (Figura 3). Possiamo notare che entrambi, anche durante l’epidemia dell’inverno 2023/24, hanno fatto registrare dati simili, con il 49,0% (Windhorst 2024). L’epidemia del 2022 invece era stata significativamente diversa rispetto alle due successive, in quanto era stato principalmente colpito il Midwest settentrionale e la concentrazione regionale era stata significativamente più bassa (Windhorst 2023).


La Figura 4 mostra come il numero di focolai e le associate perdite di animali sono variate considerevolmente nel tempo. In tre settimane sono state registrate più di venti aziende infette, mentre in nove settimane se ne sono registrate meno di cinque. Le perdite settimanali hanno variato da 15.000 a 8,4 milioni di animali. In 16 settimane, oltre 1 milione di animali è stato vittima del virus o è stato abbattuto come misura preventiva, con una media di 2,5 milioni di animali a settimana, la cui morte ha causato anche gravi problemi per la rimozione e lo smaltimento delle carcasse nelle contee in cui erano presenti allevamenti di galline ovaiole con diversi milioni di capi. Confrontando il grafico dei focolai e le colonne delle perdite animali, si può osservare una certa correlazione tra il numero di aziende infette e le perdite, tuttavia non si tratta di una correlazione diretta, poiché anche un numero ridotto di focolai ha comportato perdite elevate quando erano colpiti grandi allevamenti di galline ovaiole, come nelle settimane 42/2024 e 49/2024. Il numero di focolai causati dal virus HPAI durante l’epidemia presa in esame è stato di 96 casi, ovvero il 62,3% in più rispetto all’epidemia 2023/24, mentre le perdite, pari a 61,7 milioni di avicoli, sono state addirittura superiori di 38,6 milioni, ovvero del 167,1%. Questo è dovuto principalmente al coinvolgimento di grandi allevamenti di galline ovaiole, con capienza fino a 4 milioni di animali: non è un caso che tali allevamenti abbiano rappresentato solo il 27,2% dei focolai totali, ma abbiano fatto registrare l’81,5% delle perdite, mentre gli allevamenti di tacchini rappresentavano il 45,5% dei focolai ma solo il 6,3% delle perdite totali. Gli allevamenti di broiler, infine, rappresentavano il 16% dei focolai e il 10,7% degli animali morti o abbattuti (Figura 5).


Tali differenze si riflettono nella dimensione media degli allevamenti: mentre gli allevamenti di ovaiole avevano una dimensione media di 806.000 capi, quelli di broiler avevano una media di 165.000 e quelli di tacchini solo di 34.000 capi.
La distribuzione dei casi per classe dimensionale degli allevamenti è mostrata nella Tabella 3. Le elevate perdite economiche verificatesi nei complessi avicoli in cui erano accasati diversi milioni di galline ovaiole in un unico sito hanno portato a una nuova discussione sull’opportunità di avere allevamenti intensivi di tali dimensioni e di autorizzarne la costruzione1.

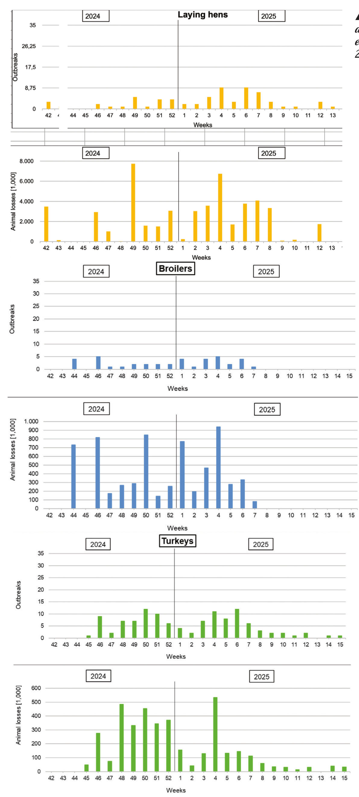
Il problema delle elevate perdite economiche quando vengono infettati gruppi molto numerosi può essere documentato confrontando il numero di casi con il numero di animali persi ogni settimana, che sono stati posti a confronto nelle Figure 6A, B e C per galline ovaiole, broiler e tacchini.
La Figura 6A mostra che i picchi per le galline ovaiole si sono verificati nella settimana 42 e nella settimana 49 dell’ultimo trimestre del 2024 e nelle settimane 4 e 7 dei primi due mesi del 2025. In entrambi i casi sono stati colpiti allevamenti con più di 1 milione di capi: nella settimana 42 un allevamento nello Utah con 1,8 milioni di galline, nella settimana 49 un allevamento con 1,7 milioni in California e un altro con più di 4 milioni di galline in Iowa. Nella settimana 4 erano coinvolte ben quattro strutture con 1,2-1,8 milioni di capi ciascuna in Missouri e in Ohio, mentre nella settimana 7 sono stati interessati tre impianti in Indiana con oltre 1 milione di avicoli ciascuno.
Anche le perdite più elevate nei broiler si sono verificate in gruppi molto grandi (Figura 6B). Nella settimana 44 sono stati infettati tre allevamenti in California con oltre 100.000 broiler ciascuno, e nella settimana 46 tre allevamenti con oltre 200.000 capi ciascuno. Nella quarta settimana del 2025 un grande allevamento in California ha perso 441.000 broiler. A quanto pare, nessuno di questi allevamenti è riuscito a proteggere i propri capi con un livello sufficiente di biosicurezza. Una possibile spiegazione di queste perdite si può forse ricondurre al basso numero di casi nei broiler che si sono registrati nel corso delle precedenti epidemie, che potrebbe aver portato all’erroneo convincimento che i broiler siano meno suscettibili all’infezione.
Nonostante i tacchini siano allevati in aziende che hanno dimensioni medie generalmente più piccole (vedi Tabella 3), i due picchi nelle settimane 48/2024 e 4/2025 sono stati causati principalmente da due focolai avvenuti in grandi allevamenti con 223.000 e 300.000 capi in Minnesota (Figura 6C).
Le perdite di galline ovaiole più alte mai registrate durante un’epidemia e i conseguenti problemi nell’approvvigionamento di uova per la popolazione americana a un prezzo ragionevole hanno portato a proteste pubbliche e hanno costretto il governo a prendere provvedimenti.

La risposta del legislatore e dell’industria
Nel dicembre 2024 l’APHIS (Animal and Plant Health Inspection Service) ha pubblicato un aggiornamento del sistema di indennizzo per l’HPAI negli allevamenti avicoli, che collega i futuri risarcimenti a determinate condizioni. Ad esempio, un sito interessato potrà essere ripopolato solo dopo aver superato un audit di biosicurezza dell’APHIS. È poi richiesto un audit delle aziende avicole commerciali entro un raggio di 7 km da un’azienda colpita prima del movimento di avicoli verso il sito, se il proprietario desidera essere idoneo a futuri indennizzi. Inoltre non verrà pagata alcuna compensazione se vengono introdotti in una zona di restrizione attiva degli animali e si verifica un’infezione entro 14 giorni dalla revoca della zona. Se un’azienda non implementa i miglioramenti della biosicurezza proposti dall’APHIS, infine, perderà il diritto al risarcimento in caso di focolaio di influenza aviaria. La nuova normativa mira pertanto a migliorare la biosicurezza negli allevamenti avicoli2. Il 18 febbraio di quest’anno un gruppo bipartisan di 16 senatori ha inviato una lettera al Segretario dell’Agricoltura chiedendo lo sviluppo di una strategia orientata al futuro per lo sviluppo di vaccini e per il loro utilizzo negli allevamenti di ovaiole e tacchini, nonché la conduzione di test sul campo con tali vaccini. Inoltre dovrebbero essere avviate trattative con i partner commerciali per convincerli della necessità di vaccinare gli allevamenti avicoli e che la vaccinazione non dovrebbe ostacolare o impedire il commercio di prodotti avicoli3.
In aprile l’USDA (United States Department of Agriculture) ha stanziato 100 milioni di dollari per consentire agli scienziati di sviluppare nuovi vaccini per proteggere gli allevamenti avicoli e per studiare la diffusione del virus dell’influenza aviaria negli uccelli selvatici e negli animali da allevamento. Questo dovrebbe, se non impedire la recidiva di un’epidemia, se non altro ridurne la portata4.
Bibliografia
APHIS: Confirmations of Highly Pathogenic Avian Influenza in commercial and backyard flocks. https://www.aphis.usda.gov/livestock-poultry-disease/avian/avian-influenza/hpai-detections/commercial-backyard-flocks
APHIS: APHIS Announces Updates to Indemnity Program for Highly Pathogenic Avian Influenza on Poultry Farms. https://www.aphis.usda.gov/news/agency-announcements/aphis-announces-updates-indemnity-program-highly-pathogenic-avian
Windhorst, H.-W.: Economic impacts of the AI-outbreaks in the USA in 2015. A final evaluation of the epizootic disaster. In: Zootecnica International 38 (2016), n. 7, p. 34-39.
Windhorst, H.-W.: A documentation and analysis of the AI epidemic in the USA in 2022. In: Zootecnica International 45 (2023), n. 3, p. 8-17.
Windhorst, H.-W.: Third Avian Influenza outbreak in the USA within 10 years: the 2023-2024 epidemic. In: Zootecnica International 46 (2024), n. 9, p. 28-33.
Note
1 Doughman, E.: Stopping HPAI may require changes to poultry farming. https://www.wattagnet.com/poultry-meat/diseases-health/avian-influenza/news/15743723/rethinking-poultry-farms-to-combat-avian-flu.
2 https://www.aphis.usda.gov/news/agency-announcements/aphis-announces-updates-indemnity-program-highly-pathogenic-avian.
3 https://www.ernst.senate.gov/imo/media/doc/letter_to_usda_in_response_to_hpai_outbreaks.pdf.
4 https://www.aphis.usda.gov/funding/hpai-poultry-innovation-grand-challenge.













